itertools에 있는 permutation 함수를 사용하여
문제를 풀었더니
당연히 메모리 초과,,, 큽..
import itertools
n = int(input())
array = list(map(int, input().split()))
temp = list(itertools.permutations(range(1, n + 1), n))
# array[0] = 소문제 번호
if array[0] == 1:
# k를 입력받음 -> array[1]에 있음
print(*temp[array[1] - 1])
else:
# 임의의 순열을 나타내는 n개의 수를 입력받음
# array[1:n+1]
print(temp.index(tuple(array[1:n + 1])) + 1)
직접 구현해야하나 고민했지만,
이것도 마찬가지로 메모리초과가 뜰 것 같았다.
그래서 구글링을 결국 해보았는데
생각도 못했던 방식으로 문제를 풀어서 놀랐다..
정말 이 발상을 어떻게 떠올려내는지
그들은 천재...
삐약이 같은 나는 아직도
갈 길이 멀다 ! !


import itertools
n = int(input())
array = list(map(int, input().split()))
def factorial(inp):
if inp <= 1:
return 1
else:
return inp * factorial(inp - 1)
if array[0] == 1:
k = array[1]
nums = list(range(1, n + 1))
temp = []
for i in range(n, 0, -1):
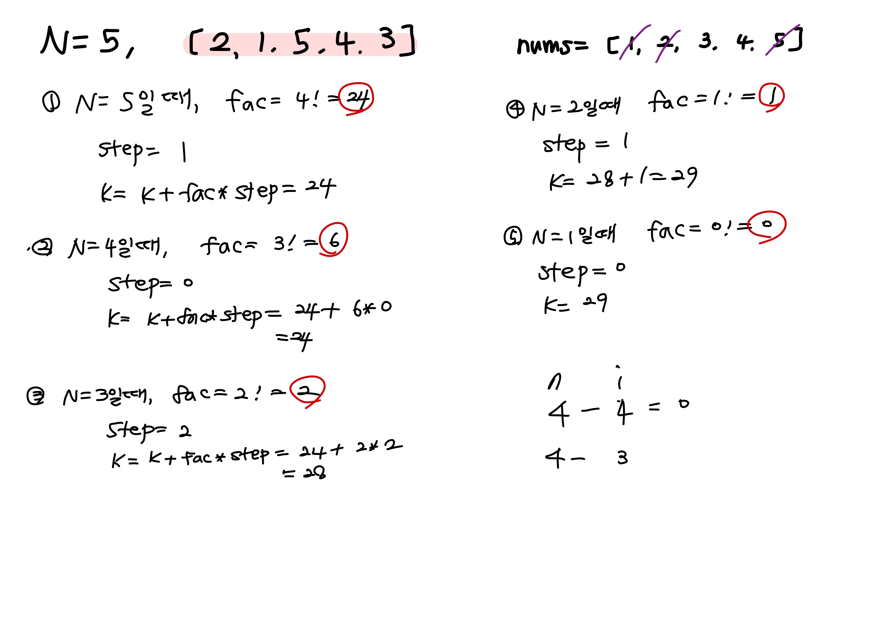
fac = factorial(i - 1)
step = (k-1) // (fac) # idx 문제 때문에
temp.append(nums[step])
del nums[step]
k -= fac * step # 이 부분이 가장 생각해내기 어려웠음.
print(*temp)
else:
li = array[1:]
nums = list(range(1, n + 1))
k = 1
for i in range(n, 0, -1):
fac = factorial(i - 1)
step = nums.index(li[n-i])
del nums[step]
k += fac * step
print(k)
'여니의 취준 준비 > 코딩테스트 (Python)' 카테고리의 다른 글
| [16678] 모독 In python (0) | 2022.01.30 |
|---|---|
| [20127] Y - 수열 in python (0) | 2022.01.30 |
| [1890] 점프 in python (0) | 2022.01.26 |
| [9507] Generations of Tribbles in python (0) | 2022.01.26 |
| [3079] 입국 심사 in python (0) | 2022.01.23 |