https://www.acmicpc.net/problem/17471
17471번: 게리맨더링
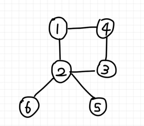
선거구를 [1, 4], [2, 3, 5, 6]으로 나누면 각 선거구의 인구는 9, 8이 된다. 인구 차이는 1이고, 이 값보다 더 작은 값으로 선거구를 나눌 수는 없다.
www.acmicpc.net

문제 요약
선거구 : 2개 (1개의 구역이라도 포함해야함, 한 선거구 내에 있는 구역은 모두 연결되어있어야함, 다른 선거구의 구역과는 연결될 수 없다.)
구역 : N개 (각 구역은 2개의 선거구 중 하나에 포함되어야한다.)
같은 선거구 내에서 A-C-B , A가 B랑 바로 연결되는 게 아니더라도, 또다른 인접한 구역을 통해 갈 수 있다면?
두 구역(A,B)는 연결되어있다고 할 수 있다.
두 선거구에 포함된 인구의 차이를 최소로 한다.
입력


입력방식을 이해못해서 헤맸던 문제
구역의 개수 = 첫번째 줄
각 구역의 인구 = 2번째 줄
각 구역과 인접한 구역의 정보 = N개의 줄
(개수, 해당 구역과 연결된 구역의 번호(개수만큼))
1 2 3 4 5 6 7 8 | 6 5 2 3 4 1 2 2 2 4 -> 1번과 연결되어있는 정점(2,4) 4 1 3 6 5 -> 2번과 연결되어 있는 정점(1,3,6,5) 2 4 2 -> 3번과 연결되어 있는 정점 (2,4) 2 1 3 -> 4번과 연결되어 있는 정점 (1,3) 1 2 -> 5번과 연결되어 있는 정점 (2) 1 2 -> 6번과 연결되어 있는 정점 (2) | cs |
접근 방식
1. A선거구에 해당하는 구역을 조합을 이용하여 구한다.
1개의 구역을 뽑을때, 2개의 구역을 뽑을때 -> for문을 이용하여 comb 함수를 호출한다.
2. 뽑은 구역이 모두 연결되어 있는지 A팀, B팀 구역을 모두 확인한다. -> isConnect
3. 연결되어 있다면 각 팀별로 인구수를 구하고, A팀과 B팀의 인구수 차이를 구한다.

시행 착오
해당 문제에서는 각 구역과 연결된 인접한 구역의 정보를
이중 List에 받으려고 했으나
이중 List를 선언하는 방식에 대해 낯설어서 헤맸다.
리스트의 타입을 정수형 리스트로 선언해주면,
리스트 안에 리스트를 넣을 수 있고
2차원 배열로 만들 수 있다.
1 2 3 4 | int r=3; List<List<Integer>> map = new ArrayList<>(); // 요소로 정수형 리스트가 들어오는 리스트 for(int i=0; i<r; i++){ map.add(new ArrayList<>()); // 1차원 배열 요소로 비어 있는 1차원 배열을 넣어준다 = > 2차원 배열이 된다 | cs |
1 2 3 4 5 6 7 8 9 10 11 12 13 14 15 16 17 18 19 20 21 22 23 24 25 26 27 28 29 30 31 32 33 34 35 36 37 38 39 40 41 42 43 44 45 46 47 48 49 50 51 52 53 54 55 56 57 58 59 60 61 62 63 64 65 66 67 68 69 70 71 72 73 74 75 76 77 78 79 80 81 82 83 84 85 86 87 88 89 90 91 92 93 94 95 96 97 98 99 100 101 102 103 104 105 106 107 | import java.io.BufferedReader; import java.io.IOException; import java.io.InputStreamReader; import java.util.ArrayList; import java.util.LinkedList; import java.util.List; import java.util.Queue; import java.util.StringTokenizer; public class Main { static int N; // 구역의 개수 static int[] people; // 구역의 인구수 static List<List<Integer>> map; // 인접 구역의 정보 (2차원 리스트) static boolean[] selected; static int answer; public static boolean isConnect(int size, ArrayList<Integer> array) { boolean[] visited=new boolean[N+1]; // A팀 방문구역 int allCnt=1; Queue<Integer> queue= new LinkedList<>(); queue.add(array.get(0)); visited[array.get(0)]=true; while(!queue.isEmpty()) { int start= queue.poll(); // 시작 노드 for (int i : map.get(start)) { if (!visited[i] && array.contains(i)) { queue.add(i); allCnt++; visited[i]=true; } } } if (size==allCnt) return true; return false; } public static void comb(int cnt, int start) { if (cnt==0) { ArrayList<Integer> teamA=new ArrayList<>(); ArrayList<Integer> teamB=new ArrayList<>(); for (int i = 1; i <= N; i++) { if (selected[i]) teamA.add(i); else teamB.add(i); } // 2. A팀, B팀이 각각 연결 되어 있는지 확인 if (isConnect(teamA.size(),teamA) && isConnect(teamB.size(), teamB)) { // 3. 연결 되어 있다면 인구 차이 계산 int valA=0, valB=0; for (int a : teamA) { valA+=people[a]; } for (int b : teamB) { valB+=people[b]; } answer=Math.min(answer, Math.abs(valA-valB)); } return; } for (int i = start; i <= N; i++) { selected[i]=true; comb(cnt-1,i+1); selected[i]=false; } } public static void main(String[] args) throws IOException { BufferedReader br = new BufferedReader(new InputStreamReader(System.in)); N= Integer.parseInt(br.readLine()); // 구역의 개수 people=new int[N+1]; // 구역의 인구수 map=new ArrayList<>(); answer=Integer.MAX_VALUE; selected=new boolean[N+1]; // 맵 크기 초기화 for (int i = 0; i <=N; i++) { map.add(new ArrayList<>()); } // 인구 정보 입력 받기 StringTokenizer st = new StringTokenizer(br.readLine()); for (int j = 1; j <= N; j++) { people[j]=Integer.parseInt(st.nextToken()); } // 인접한 구역 정보 입력 받기 for (int i = 1; i <= N; i++) { st = new StringTokenizer(br.readLine()); int size = Integer.parseInt(st.nextToken()); for (int j = 0; j < size; j++) { map.get(i).add(Integer.parseInt(st.nextToken())); } } // 1. 조합으로 구역 나누기 for (int i = 1; i < N; i++) { comb(i,1); // cnt, start } if(answer==Integer.MAX_VALUE) { System.out.println(-1); }else { System.out.println(answer); } } } | cs |
'여니의 취준 준비 > 코딩테스트 (Java)' 카테고리의 다른 글
| [*1828*] 냉장고 in Java (feat. 정올, Comparator, Comparable 차이 및 설명) (0) | 2022.08.16 |
|---|---|
| [20207] 달력 in Java (0) | 2022.08.14 |
| [17281]⚾ in Java (0) | 2022.08.12 |
| [4012] 요리사 in Java (0) | 2022.08.12 |
| [*11286*] 절댓값 힙 in Java (0) | 2022.08.12 |